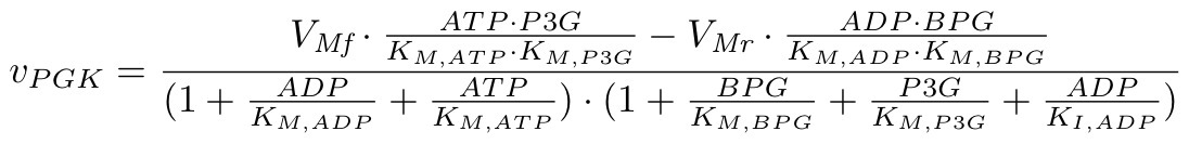
Mathematical model for PGK kinetics, ADP, ATP, 3PG and BPG saturation.
SEEK ID: https://fairdomhub.org/models/110?version=1
1 item (and an image) are associated with this Model:Organism: Sulfolobus solfataricus
Model type: Ordinary differential equations (ODE)
Model format: Mathematica
Execution or visualisation environment: Not specified
Model image: (Click on the image to zoom) (Original)

Creator
Submitter
Views: 4907 Downloads: 209
Created: 1st Aug 2013 at 09:49

This item has not yet been tagged.

None
Version History
Version 1 (earliest) Created 1st Aug 2013 at 09:49 by Jacky Snoep
No revision comments